
目的
ウコン(Curcma longa L.)を摂取しやすくデザインした発酵ウコン(特許第2949411号)は、
発酵前のウコンに比べてミネラル含量および抗酸化性が増加することが報告されている。
しかしながら、実際にヒトで機能するかについては未だ解明されていない。
近年、活性酸素やフリーラジカルがもたらす生態障害の防御が研究され、
殊に食品として摂取する抗酸化物質が細胞の老化やガン、さらに生活習慣病の予防に有効ではないかと期待されている。
そこで本研究は、発酵ウコンの更なる健康食品的価値を見い出すことを目的として、
血清生化学検査、尿および血清中の脂質の過酸化度(以下TBARS) と共にDNAの酸化的損傷バイオマーカーとして
用いられている尿中8-hydroxy-2-deoxrguanoslne含量(以下8-0HdG)を測定し、
ヒト(老人)における発酵ウコンの 食品機能(抗酸化性)の程度を調べた。
実験1 若年者と老人での酸化ストレス度合の比較
<目的>
年齢による酸化ストレス度合の比較を行い、発酵ウコンの効果試験に適切な年齢を定めることを目的とする。
<方法>
- 対象:
- 若年者14名(平均年齢28歳)
老人 21名(平均年齢90歳)
測定項目:
- (1)
- 尿および血清中のTBARS
- (2)
- 尿中8-0HdG/creatinine
測定方法:
- (1)
- TBA法
- (2)
- ELISA法
<結果>

図1 ヒト尿中の8-0HdG/creatinine(ng/mg)含有量
尿中8-0Hd G/creatinine含量は若い健康者で11.16ng/mg、
老人で32.26ng/mgとなり、若い健康者と比較して老人の方が
有意(P<0.01)に高い値となった。
∗尿中8-0Hd G/creatinineについて
尿中のクレアチニン(creatinine)は動物の筋肉最の指標であり、
その尿中クレアチニン値と尿中の8-OHdG値を比として表したのは、
採尿日によるバラツキをなくすことを目的としている。

図2 銅誘導ヒト血清中のTBARS(nmol/ml)含有量
1.5mMで6時間銅誘導した血清中TBARS値では、
若い健康者で35.07nmol/ml、老人で40.31nmol/mlとなり、
老人の方が若い健康者よりも有意(P<0.05)に高い値を示した。
∗銅誘導というのは、硫酸銅で血清を酸化させることによりTBARS値の差を明らかにするために用いられている方法。

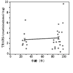
図3 ヒト尿中のTBARS/creatinine(nmol/mg)含有量
尿中TBARS値は、若い健康者で2.73nmol/mg、
老人で2.96nmol/mgとなり、有意差はないものの老人の方が
若い健康者と比較して増加する傾向が見られた。
<まとめ>
図1~3の結果より、ヒトの尿中8-0HdGは加齢に伴い増加することが示唆された。
また血清中のTBARSも加齢に伴い増加するという報告があることより、
癌などのリスクファクターであるDNAレベルの酸化的障害および
脂質の過酸化はヒトの場合でも加齢に伴い進行することがわかった。
効果試験に適切な対象者の年齢は酸化ストレスを受けやすい老人の方であることが判断された。
実験2 ヒトにおける発酵ウコンの食品機能(抗酸化性)に関する評価試験
<目的>
ヒトにおける発酵ウコンの食品機能(抗酸化性)の程度を調べた。
<方法>
- 対 象:
- 老人、10人(平均年齢90歳)
- 測定方法:
- 血清および尿中TBARS(TBA法)
尿中8-0HdG(ELISA法)

発酵ウコンをマドレーヌおよびゼリーに添加したものを
1日2gの発酵ウコン摂取量になるように組み合わせ、
年齢81~99歳(平均 年齢89歳)の老人10名(男性2名、女性8名)に
12週間摂取してもらった。
その間発酵ウコン摂取前(0週間日)と6、12週間日および
摂取終了後2週間目(+2w)に血液と尿を採取した。
また、O週目を基準としたが、
実験開始2週間前にも血液と尿を採取し、
0週目の値と比較し変動がないことを確かめた。
<結果>

図4 発酵ウコン含有食を摂取した高齢者の尿中8-0HdG/creatinine(ng/mg)含有量
尿中8-0HdG/creatinine含量は、
対照群(0週日)40.16ng/mgと比較して、
摂取後6週自で38.13ng/mg、12週目では、32.38ng/mgとなり、
摂取時間に伴って徐々に低下する傾向を示した。
さらに、実験終了後2週間目では、17.90ng/mgとなり、
摂取後12週目と比較して有意差はないもののさらに低下した。

図5 発酵ウコン含有食を摂取したヒト銅誘導血清中TBARS(nmol/ml)含有量
1.5mMで6時間銅誘導した血清中TBARS値においても
各々42.29、44.39、43.95、43.98nmol/mlと
発酵ウコン摂取の効果は見られなかった。

図6 発酵ウコン含有食を摂取したヒト尿中のTBARS/creatinine(nmol/mg)含有量
尿中TBARS値は、対照群(0週日)の4.37nmol/mgと比較して
摂取後6週目で2.87nmol/mg、12週目では、2.99nmol/mgとなり、
摂取後有意(P<0.05)に低下した。
さらに、実験終了後2週間目では1.99nmol/mgとなり、
摂取後12週目と比較して有意差はないもののさらに低下した。
<まとめ>
これまでの結果より、ヒトにおいて発酵ウコンの摂取によって生体内のフリーラジカルが消去され、
DNAの酸化的障害を抑制することが示唆された。
つまり沖縄県で、古くから民間薬として伝承されているウコンを発酵させ、
日常摂取しやすくデザインした発酵ウコンは、老化や癌などの生活習慣病を予防することが示唆された。
8-0HdGについて
8-0HdGとは8-ヒドロキシデオキシグアノシンのことで、
これはDNA中のグアニンの8位の部分が酸化されることによって生成される。
そのことからか8-OHdGを定量することはDNAの酸化障害マーカー
(どの程度、生体が酸化されているのかを知る評価方法)として有効であるとされている。
これは産業医科大学の葛西博士が最初に見つけた反応で、ヘム鉄の存在下、生体内で生成する活性酸素による
直接的な障害、さらに活性酸素による誘導された脂質過酸化反応の亢進の過程で二次的に生じた活性酸素、
特に水酸化ラジカルによるDNA中のデオキシグアノシンに対する攻撃は特に問題にされている。
このような生体反応の結果、最終的に8-0HdGが生成する。各臓器が酸化ストレスを受け、
8-0HdGが生成すると一般的には酸化されていない正常なDNAに戻すために修復酵素が働いて8-0HdGは
尿中に排出される。
よって尿中の8-0HdGを定量することによって酸化ストレスの程度を知ることができる。

TBARSについて
TBA法とは過酸化脂質の分解により生成するマロンジアルデヒド (MDA)およびMDA物質が酸性条件下で
二分子のチオパルピツール酸 (TBA)と縮合して生成する赤色物質を比色定量することによって
脂質の過酸化度を評価する方法、つまり過酸化反応を経て脂質が劣化する程度を調べる方法であり、
最もよく使われている。
TBARSとはチオバルビツール酸反応生成性物質をさし、脂質ヒドロペルオキシド、
マロンジアルデヒドを含むアルデヒド類、さらにはある種の脂質酸化生成物とタンパク質の酸化生成物を含んでおり、
TBA法によって測定されるものである。
ELISA法(イライザまたはエリザ法、enzyme-linked immunosorbent assay)
免疫検定法の一つで、抗原抗体反応を酵素を標識として抗原あるいは抗体を測定する方法。
(免疫検定法→酵素免疫検定法→ELISA法)抗原と抗体の結合反応は一般的に特異性が高く、
低濃度でも比較的容易に結合し、いったん結合すると比較的解離しにくい。
このため何らかの方法で抗原抗体反応を定量化すると、微量の抗原あるいは抗体を測定することが可能になる。
そこで今回、体内で酸化ストレスの結果生じる8-0HdGはごく微量である上に、
生体試料の場合は多種多様な不純物が含まれてくるため、前処理が必要となり測定を行うことが難しいため、
この原理を用いて、8-0HdGを抗原とし、その抗体を作成し別紙に示す要領で測定を行った。
なお、この測定方法は、名古屋大学の大津俊彦教授と日本老化制御研究所との共同研究により
既にキッ卜化されたものを使用した。














